Prova Santa Casa 2023 (1º e 2º dia) com Gabarito e Resolução 1º DIA SANTA CASA 2023 - QUESTÃO 01 Examine a tirinha publicada na conta d...
Prova Santa Casa 2023 (1º e 2º dia) com Gabarito e Resolução
1º DIA
SANTA CASA 2023 - QUESTÃO 01
Examine a tirinha publicada na conta do Instagram “War and Peas”, em 16.12.2021.
A tirinha permite caracterizar a personagem Morte como
(A) nostálgica.
(B) desconfiada.
(C) masoquista.
(D) alienada.
(E) insensível.
SANTA CASA 2023 - QUESTÃO 02
Depreende-se do trecho a seguinte característica de Eusébio:
(A) dissimulação.
(B) abnegação.
(C) hesitação.
(D) determinação.
(E) resignação.
SANTA CASA 2023 - QUESTÃO 03
O narrador manifesta-se explicitamente na narrativa no seguinte trecho:
(A) “O tio João chegou a ameaçá-lo com a presença de Cirila; mas a ameaça não surtiu melhor efeito, porque Eusébio declarou positivamente que, se tal sucedesse, então é que ele faria coisa pior.” (7º parágrafo)
(B) “Eusébio abandonou a mulher, foi para a guerra do Paraguai, veio ao Rio de Janeiro, nos fins de 1866, doente, com licença.” (11º parágrafo)
(C) “De manhã, despediram-se; Eusébio deu muitas lembranças para a mulher, mandou-lhe mesmo alguns presentes, trazidos de propósito de Buenos Aires, e não se falou mais na volta.” (8º parágrafo)
(D) “Não obstante, o tio João teve medo do pior, pela energia do sobrinho, e resignou-se a tornar à fazenda sem ele.” (7º parágrafo)
(E) “Não disse o que era, nem era fácil achar coisa pior do que o abandono da mulher, a não ser o suicídio ou o assassinato; mas vamos ver que nenhuma destas hipóteses era sequer imaginável.” (7º parágrafo)
SANTA CASA 2023 - QUESTÃO 04
Verifica-se o emprego de metalinguagem, recurso característico da prosa machadiana da maturidade, no seguinte trecho:
(A) “Há uma porção de coisas que estão patentes ou se deduzem do capítulo anterior.” (11º parágrafo)
(B) “Tinha vindo na véspera, e parece que com a certeza de voltar à fazenda levando o prófugo Eusébio.” (7º parágrafo)
(C) “Eusébio disse que não, e repetiu que não, à tarde, e no dia seguinte.” (7º parágrafo)
(D) “Não obstante, o tio João teve medo do pior, pela energia do sobrinho, e resignou-se a tornar à fazenda sem ele.” (7º parágrafo)
(E) “Eusébio abandonou a mulher, foi para a guerra do Paraguai, veio ao Rio de Janeiro, nos fins de 1866, doente, com licença.” (11º parágrafo)
SANTA CASA 2023 - QUESTÃO 05
“— Já lhe disse o que tenho de dizer, [...], respondeu Eusébio.” (2º parágrafo)
Transposto para o discurso indireto, o trecho assume a seguinte redação:
(A) Eusébio respondeu que já diria a ele o que tinha de dizer.
(B) Eusébio respondeu: — Já tinha dito a você o que tinha de dizer.
(C) Eusébio respondeu: — Já diria a você o que teria de dizer.
(D) Eusébio respondeu que já tinha dito a ele o que tinha de dizer.
(E) Eusébio respondeu que já teria dito a ele o que teria de dizer.
SANTA CASA 2023 - QUESTÃO 06
Expressão expletiva é aquela que, embora seja desnecessária ao sentido da frase, é empregada como realce ou ênfase.
Verifica-se uma expressão expletiva no seguinte trecho:
(A) “Nem eu digo isso” (4º parágrafo).
(B) “eu é que sou mau” (6º parágrafo).
(C) “ela não te fez nada” (3º parágrafo).
(D) “a ameaça não surtiu melhor efeito” (7º parágrafo).
(E) “Não disse o que era” (7º parágrafo).
SANTA CASA 2023 - QUESTÃO 07
Esta arte trabalha sobre uma dicotomia, quase uma dilaceração. De um lado, as determinações católicas contrarreformistas — a obrigação de tratar dos temas bíblicos e da vida de santos; a perspectiva teocêntrica, que considera Deus como o centro do mundo, o eixo da vida. De outro, as solicitações do mundo — os temas da vida real, como as conquistas, as maravilhas inventadas pelos homens, segundo a perspectiva antropocêntrica, que considera o homem a medida de todas as coisas. Daí aparecem tensões entre o divino e o humano, o tema religioso e o tema mundano, o sublime e o profano, o alto e o baixo, etc.
(Luís Augusto Fischer. Literatura brasileira: modos de usar, 2013. Adaptado.)
O texto trata da arte
(A) renascentista.
(B) árcade.
(C) romântica.
(D) simbolista.
(E) barroca.
Leia o soneto de Luís de Camões para responder às questões de 08 a 10.
Qual tem a borboleta por costume,
que, enlevada¹ na luz da acesa vela,
dando vai voltas mil, até que nela
se queima agora, agora se consome,
tal eu correndo vou ao vivo lume
desses olhos gentis, Aónia bela;
e abraso-me, por mais que com cautela
livrar-me a parte racional presume.
Conheço o muito a que se atreve a vista,
o quanto se levanta o pensamento,
o como vou morrendo claramente;
porém, não quer Amor que lhe resista,
nem a minha alma o quer; que em tal tormento,
qual em glória maior, está contente.
(Luís de Camões. Sonetos, 1942.)
¹enlevada: atraída, fascinada.
SANTA CASA 2023 - QUESTÃO 08
No soneto, o eu lírico
(A) compara-se a uma borboleta e os olhos de Aónia a uma vela acesa.
(B) compara Aónia a uma borboleta e os olhos dela a uma vela acesa.
(C) compara-se a um vivo lume e Aónia a uma borboleta.
(D) compara Aónia a uma borboleta e os olhos dela à luz de uma vela acesa.
(E) compara-se a um vivo lume e Aónia a uma vela acesa.
SANTA CASA 2023 - QUESTÃO 09
No soneto, o eu lírico dirige-se, mediante vocativo,
(A) à vela.
(B) a Amor.
(C) à borboleta.
(D) a Aónia.
(E) à própria alma.
SANTA CASA 2023 - QUESTÃO 10
No trecho “em tal tormento, / qual em glória maior, está contente.”, o eu lírico faz uso do seguinte recurso retórico:
(A) pleonasmo.
(B) eufemismo.
(C) paradoxo.
(D) sinestesia.
(E) personificação.
Leia o texto para responder às questões de 11 a 16.
People who have never outgrown an aversion to broccoli, or an addiction to potato chips, can place part of the blame on their genes, preliminary research suggests. The study, of over 6,200 adults, turned up correlations between certain taste-related genes and people’s preferences for particular food groups. Those whose genes made them sensitive to bitter flavors, for example, tended to eat fewer whole grains. Meanwhile, people with a particularly acute ability to sense savory flavors were less likely to eat their veggies. Still, none of that means genes determine your food preferences, experts said.
Diet is complicated, and influenced by everything from culture to economics, said researcher Julie Gervis, a doctoral candidate at Tufts University. But, she said, the findings do highlight the role of taste-related genes in food choices. People often don’t know why they struggle with eating things they know are good for them, like green vegetables, Gervis noted. Understanding the influence of genes can shed some light on the matter.
Eventually, Gervis said, dietitians may be able to use genetic information to give people more precise diet counseling. “We’re moving away from general nutrition advice to a more personalized approach,” Gervis said. But, she added, any real-world use of genetic analysis is still a long way off. Gervis will present the findings at the annual meeting of the American Society for Nutrition. Studies released at meetings are considered preliminary until they are published in a peer-reviewed journal.
(Amy Norton. www.usnews.com, 14.06.2022. Adaptado.)
SANTA CASA 2023 - QUESTÃO 11
The main purpose of the text is to
(A) help people understand the impact of food choices on life expectancy.
(B) inform readers that genetics could determine what foods we choose.
(C) expose the lack of research and innovations in nutritional genetics.
(D) highlight that our food preferences are determinant to our health.
(E) describe how researchers identified the associations between genes and food groups.
SANTA CASA 2023 - QUESTÃO 12
In the excerpt from the first paragraph “Those whose genes made them sensitive”, the underlined word refers to
(A) “people’s preferences”.
(B) “taste-related genes”.
(C) “adults”.
(D) “correlations”.
(E) “food groups”.
SANTA CASA 2023 - QUESTÃO 13
A expressão “less likely”, no trecho do primeiro parágrafo “people with a particularly acute ability to sense savory flavors were less likely to eat their veggies”, pode ser entendida como:
(A) menos esforçadas.
(B) menos capazes.
(C) menos propensas.
(D) menos exigentes.
(E) menos restritivas.
SANTA CASA 2023 - QUESTÃO 14
O termo “still”, no trecho do primeiro parágrafo “Still, none of that means genes determine your food preferences”, é empregado com o mesmo sentido em:
(A) I don’t really like weddings. Still, I’ll have to go or they’ll be offended.
(B) She bought a car two months ago and she still hasn’t taken any driving lessons.
(C) Keep your head still.
(D) Still waters run deep.
(E) It was a still, calm evening.
SANTA CASA 2023 - QUESTÃO 15
In the excerpt from the second paragraph “People often don’t know why they struggle”, the underlined word expresses
(A) emphasis.
(B) uncertainty.
(C) denial.
(D) inability.
(E) frequency.
SANTA CASA 2023 - QUESTÃO 16
The ideas from the excerpt “‘We’re moving away from general nutrition advice to a more personalized approach’” (3ʳᵈ paragraph) indicate a
(A) logical consequence.
(B) presupposition.
(C) paradox.
(D) paradigm shift.
(E) moral responsibility.
Leia o pôster para responder às questões 17 e 18.
SANTA CASA 2023 - QUESTÃO 17
The expression “easy does it” was used to tell teenagers that it’s important to
(A) rely on the future.
(B) slow down their actions.
(C) run after their dreams.
(D) keep up with the pace.
(E) be truthful to themselves.
SANTA CASA 2023 - QUESTÃO 18
The campaign poster was mainly designed to
(A) raise awareness about social media addiction.
(B) share entertaining content about social media.
(C) bring awareness to body image issues.
(D) encourage people to seek social media validation.
(E) highlight the benefits of confidence and high self-esteem.
Leia a tirinha para responder às questões 19 e 20.
SANTA CASA 2023 - QUESTÃO 19
The word “helplessly”, in the third panel, means
(A) with hands tied.
(B) in a silent manner.
(C) in an angry manner.
(D) without difficulty.
(E) in a courageous manner.
SANTA CASA 2023 - QUESTÃO 20
In the fourth panel, the expression “what if” is used to introduce
(A) a meaningless question.
(B) a rhetorical question.
(C) an obvious question.
(D) an unnecessary question.
(E) a suppositional question.
SANTA CASA 2023 - QUESTÃO 21
No século IV depois de Jesus Cristo, a religião cristã tornou-se preponderante no Império romano de Bizâncio. Em 391, o imperador Teodósio I decretou o fechamento de todos os templos pagãos do Império. No Egito, os fiéis dos antigos deuses e deusas do país eram provavelmente pouco numerosos, mas o fechamento dos templos teve uma consequência inesperada: a escrita hieroglífica, ainda viva até aquele momento, deixou rapidamente de ser compreendida.
(Jean Vercoutter. A la recherche de L´Égypte oubliée, 1986. Adaptado.)
As ocorrências mencionadas no excerto
(A) aboliram os conteúdos religiosos do conjunto das representações artísticas.
(B) tiveram consequências socioculturais limitadas às civilizações da Antiguidade.
(C) implicaram transformações históricas com mudanças culturais profundas.
(D) resultaram da imposição de uma unidade linguística aos territórios conquistados.
(E) derivaram do cumprimento dos princípios bíblicos originais pelos chefes de Estado.
Leia o excerto para responder às questões 22 e 23.
Antes de sua publicação em 1572, o poema Os Lusíadasde Luís de Camões foi submetido à leitura e à censura de Frei Bartolomeu Ferreira, membro da Santa Inquisição em Portugal.
Vi por mandado da Santa e Geral Inquisição esses dez Cantos dos Lusíadas de Luís de Camões, dos valorosos feitos em armas que os Portugueses fizeram em Ásia, e Europa, e não achei neles coisa alguma escandalosa, nem contrária à fé e aos bons costumes [...]. O autor para encarecer a dificuldade da navegação e entrada dos portugueses na Índia usa de uma ficção dos Deuses dos Gentios. [...]
Todavia, como isso é Poesia e fingimento, o autor como poeta não pretende mais que ornar o efeito Poético, não tivemos por inconveniente ver esta fábula dos Deuses na obra, conhecendo-a por tal, e ficando sempre salva a verdade de nossa Santa fé, que todos os deuses dos Gentios são Demônios.
(Luís de Camões. Os Lusíadas, 1572. Adaptado.)
SANTA CASA 2023 - QUESTÃO 22
Observando a maneira como o poeta orna “o efeito Poético”, conclui-se que o poema
(A) ressuscita os ritos do paganismo greco-romano no período de vigência da arte barroca da Europa Ocidental.
(B) procura demonstrar a superioridade da literatura portuguesa sobre os modelos de inspiração da Antiguidade.
(C) sintetiza o mundo clássico com o monoteísmo cristão de acordo com os padrões culturais do Renascimento.
(D) denuncia a ausência de liberdade de expressão nas monarquias absolutistas da Idade Moderna.
(E) exalta o pacifismo dos portugueses como expressão da mentalidade do teocentrismo medieval.
SANTA CASA 2023 - QUESTÃO 23
As observações do censor e o conteúdo do poema expõem
(A) o atraso histórico do reino português no continente europeu e a irrelevância das descobertas ultramarinas para a economia europeia.
(B) a expansão dos limites geográficos da sociedade portuguesa e o projeto de universalização de princípios religiosos predominantes na Europa.
(C) a natureza exclusivamente política das navegações portuguesas e a associação dos Estados europeus no esforço expansionista.
(D) o compromisso histórico de Portugal com a preservação da liberdade dos povos conquistados e a extinção da escravidão nas nações europeias.
(E) a instalação de um regime democrático em Portugal e a divisão igualitária das colônias asiáticas entre as monarquias europeias.
SANTA CASA 2023 - QUESTÃO 24
Poucos aspectos da vida colonial [americana] permaneceram intocados pela mineração. [...] O Novo México permaneceu uma área pouco povoada, pobre e negligenciada do império, em grande parte porque não revelou fontes importantes de metais preciosos. Entretanto, mesmo o Novo México dependeu muito da mineração para a sua existência, encontrando um mercado para produtos animais e vegetais nas vilas da prata do norte da Nova Espanha.
(Peter Bakewell. “A mineração na América espanhola colonial”.
In: Leslie Bethell (org.). História da América Latina:
a América Latina colonial, vol. II, 1999.)
O excerto refere-se à exploração das riquezas americanas pela metrópole espanhola no século XVII, identificando
(A) a atuação de um centro dinâmico integrador de regiões produtivas do espaço colonial.
(B) a igualdade das atividades econômicas do ponto de vista de suas rentabilidades monetárias.
(C) a aplicação de políticas econômicas liberais pelo governo metropolitano nos territórios coloniais.
(D) a independência política das populações ameríndias nos perímetros de agricultura tradicional.
(E) a predominância da mão de obra espanhola assalariada nos setores da economia urbana.
SANTA CASA 2023 - QUESTÃO 25
Observe as imagens do quadro Mata reduzida a carvão, pintado em 1830 por Félix-Émile Taunay.
Félix-Émile Taunay chegou ao Brasil em 1816 com a Missão Artística Francesa. No quadro e no seu detalhe seguinte, o pintor representa
(A) a extração de matérias primas para o abastecimento de indústrias brasileiras.
(B) a força de um meio ambiente indomável ao esforço humano.
(C) a baixa produtividade proporcionada pelo emprego do trabalho compulsório.
(D) a exploração do trabalho escravo em uma floresta tropical.
(E) a expansão da urbanização sobre o espaço natural preservado.
SANTA CASA 2023 - QUESTÃO 26
Na medida em que a história de cada país da América Latina corre paralelamente às demais, atravessando situações bastante semelhantes — a colonização ibérica, a independência política, a formação dos Estados Nacionais, a preeminência inglesa e depois a norte-americana, para citar apenas alguns marcos tradicionais — não há, do meu ponto de vista, como fugir às comparações.
(Maria Ligia Coelho Prado. América Latina no século XIX: tramas, telas e textos, 2014.)
As histórias dos países da América Latina independente
(A) organizaram os mesmos regimes políticos no período posterior às independências.
(B) foram radicalmente distintas do ponto de vista do desenvolvimento comercial.
(C) reproduziram os mesmos ritmos de industrialização ao longo da história.
(D) inseriram-se igualmente em relações internacionais de forças hegemônicas.
(E) constituíram blocos econômicos coesos de resistência ao domínio estrangeiro.
SANTA CASA 2023 - QUESTÃO 27
A criação da “política dos governadores” tem sido atribuída a Campos Sales, de cujo entendimento com os chefes dos estados mais numerosamente representados no Congresso resultou na reforma do regimento da Câmara na parte referente à verificação de poderes. Construiu-se desse modo uma engenhosa máquina de depuração ou degola dos candidatos oposicionistas. O resultado não podia ser outro: com os diplomas de seus afilhados reconhecidos pela graça da situação federal, os governadores exigiam de seus deputados e senadores estrita conformidade com os planos do Presidente da República [...].
(Victor Nunes Leal. Coronelismo, enxada e voto, 1976.)
O excerto descreve um mecanismo político típico da Primeira República brasileira que
(A) obedecia explicitamente a alguns artigos da Constituição republicana.
(B) harmonizava o exercício do poder republicano em esferas decisórias distintas.
(C) cumpria de maneira rigorosa os resultados das eleições republicanas.
(D) evitava o domínio do poder legislativo da República pelas oligarquias estaduais.
(E) suspendia os direitos atribuídos aos estados pela Constituição da República.
SANTA CASA 2023 - QUESTÃO 28
Veio a Guerra de 14, o paulista comprava manteiga da Dinamarca, bebia cerveja alemã, usava papel higiênico inglês e pensava em latim. A campanha submarina fez tudo isso naufragar. [...] Os imigrantes tinham a tradição do artesanato e da economia, fizeram as primeiras fábricas. [...]. Nossa indústria encontrou uma grande sobra de famintos no campo para explorar, criou bairros urbanos.
(Oswald de Andrade. A revolução melancólica, 1978.)
O excerto reproduz a fala de um personagem do livro A revolução melancólica, publicado em primeira edição em 1943. As palavras do personagem
(A) explicitam as causas de um processo de transformação histórica regional.
(B) aludem à desindustrialização das nações envolvidas na Primeira Guerra Mundial.
(C) englobam as mudanças históricas em todas as regiões do país.
(D) referem-se à estagnação da produção manufatureira no Brasil.
(E) revelam a aplicação de capital estatal nos setores de bens de produção.
SANTA CASA 2023 - QUESTÃO 29
A radicalização política dos anos 60 foi dessa gente jovem. Os jovens radicais eram liderados por membros de seu grupo de pares. Isso se aplicava visivelmente aos movimentos estudantis mundiais, mas onde estes provocaram motins operários em massa, como na França e na Itália em 1968-9, a iniciativa também veio de jovens operários. Ninguém, com as limitações da vida real, poderia ter idealizado os slogans confiantes, mas patentemente absurdos, dos dias parisienses de maio de 1968, nem do “outono quente” de 1969: “tutto e súbito”, queremos tudo e já.
(Eric J. Hobsbawm. Era dos extremos: o breve século XX, 1995. Adaptado.)
Considerando o conteúdo do excerto e conhecimentos sobre os anos cinquenta e sessenta do século passado, observa-se que
(A) as mobilizações sociais eram um fenômeno exclusivamente ocidental.
(B) as manifestações eram lideradas por políticos de partidos tradicionais de esquerda.
(C) os ativismos contestatórios restringiam-se às esferas das lutas políticas.
(D) os movimentos operários defendiam o fim da economia agroindustrial.
(E) as manifestações contrapunham-se aos ritmos habituais das mudanças sociais.
SANTA CASA 2023 - QUESTÃO 30
O que elas são, russas ou soviéticas? Não, elas foram soviéticas — e também russas, bielorrussas, ucranianas, tadjiques...
E, apesar de tudo, ele existiu, o homem soviético. Pessoas assim, acho, não vão existir nunca mais, eles mesmos já entenderam isso. Até nós, seus filhos, somos diferentes. Queríamos ser como todo o resto. Parecidos não com nossos pais, mas com o mundo.
(Svetlana Aleksiévitch. A guerra não tem rosto de mulher, 2021.)
A autora, prêmio Nobel de literatura em 2015, escreveu sobre a Segunda Guerra Mundial na perspectiva das mulheres soviéticas que atuaram nas frentes de batalha. O excerto destaca
(A) a defesa da unidade das nações na luta ininterrupta contra o totalitarismo.
(B) a igualdade de gêneros nas repúblicas da ex-União soviética.
(C) a valorização do internacionalismo operário na antiga União soviética.
(D) a união de distintas identidades femininas durante o conflito armado.
(E) a persistência da defesa dos valores socialistas do Estado soviético.
SANTA CASA 2023 - QUESTÃO 31
A política de Uma China é o reconhecimento diplomático internacional de que existe apenas um governo chinês, visão defendida pelo governo sediado em Pequim. Dentro dessa política, que é seguida pelo Brasil, pelos Estados Unidos e pela maioria dos países, os governos estabelecem laços formais com a China, e não com outros territórios que compõem esse país.
No entanto, há um território que é considerado pela China uma província rebelde, que o governo chinês busca que seja totalmente reintegrado ao país. Embora essa província afirme ser independente e integrante da “República da China”, qualquer país que deseje relações diplomáticas com a China continental precisa romper os laços oficiais com tal província.
(www.bbc.com, 08.10.2021. Adaptado.)
O contexto geopolítico chinês descrito no excerto faz menção à província de
(A) Hong Kong.
(B) Macau.
(C) Tibete.
(D) Manchúria.
(E) Taiwan.
SANTA CASA 2023 - QUESTÃO 32
Analise o gráfico.
Cotação do petróleo em dólar por barril, 2022
Considerando a análise do gráfico e conhecimentos sobre o mercado internacional de combustíveis fósseis, verifica-se que o preço do petróleo apresenta
(A) flutuações, impactado pelas sanções econômicas dos países impostas à Rússia e pela redução dos investimentos em energia renovável na União Europeia.
(B) variações, por ser uma commodity e possuir baixa demanda de consumo nos países com industrialização tardia.
(C) instabilidade, por efeito da volatilidade do cenário político e econômico global e da incerteza sobre os volumes disponíveis à oferta.
(D) oscilações, resultado da política de preços das empresas do setor de óleo e gás e do controle na demanda imposta pela OPEP.
(E) constância, em virtude do grande número de operações de crédito nas bolsas de valores e da elevação da taxa de juros interna dos Estados Unidos.
SANTA CASA 2023 - QUESTÃO 33
Avalie a charge de Ivan Cabral de 2008.
A charge retrata um problema socioeconômico brasileiro que tem como uma de suas causas
(A) a produção monocultora voltada para exportação.
(B) a política do pleno emprego nas áreas urbanas.
(C) o predomínio da agricultura familiar no espaço rural.
(D) a elevada capacidade de produção agropecuária.
(E) o processo de estatização das indústrias alimentícias.
SANTA CASA 2023 - QUESTÃO 34
Examine os gráficos que mostram os resultados de um estudo sobre estatísticas de gênero, realizado pelo Instituto Brasileiro de Geografia e Estatística (IBGE), divulgado em 2018.
Considerando os dados apresentados e conhecimentos sobre a população brasileira, verifica-se que
(A) a diferença entre mulher branca e mulher preta ou parda é maior do que entre homem branco e homen preto ou pardo no ensino superior.
(B) o rendimento dos homens é superior ao das mulheres embora eles apresentem menor participação no ensino superior.
(C) a diferença de cor ou raça não interfere nos percentuais de homens e mulheres no ensino superior.
(D) o menor rendimento das mulheres está atrelado ao reduzido acesso delas ao ensino superior.
(E) a diferença entre os rendimentos é consequência do maior número de homens do que de mulheres no país.
SANTA CASA 2023 - QUESTÃO 35
Analise o esquema que apresenta o conjunto de processos que promovem modificações na crosta terrestre.
Os números 1, 2 e 3 observados nesse esquema correspondem, respectivamente, a:
(A) processos endógenos, abalos sísmicos e eustasia.
(B) processos exógenos, intemperismo e soerguimento.
(C) processos endógenos, magmatismo e falhamento.
(D) processos exógenos, vulcanismo e pedogenia.
(E) processos endógenos, vulcanismo e orogenia.
SANTA CASA 2023 - QUESTÃO 36
No dia 15 de fevereiro de 2022, a serra do Rio de Janeiro, especialmente a cidade de Petrópolis, foi afetada pela formação de áreas de instabilidade a partir da passagem de uma massa de ar fria pelo estado, potencializada pelas características do relevo da região. As características da serra forçaram a elevação dos ventos úmidos, o que leva a um encontro com temperaturas mais baixas e a consequente precipitação.
(https://brasil.estadao.com.br, 16.02.2022. Adaptado.)
Segundo o excerto, o fenômeno atmosférico que afetou a cidade de Petrópolis é denominado
(A) chuva frontal.
(B) brisa marítima.
(C) inversão térmica.
(D) chuva orográfica.
(E) tornado extratropical.
SANTA CASA 2023 - QUESTÃO 37
Um artigo científico publicado em março de 2022, no periódico Science Advances, revelou os resultados de um mapeamento detalhado das áreas livres de estradas em todos os seis biomas brasileiros.
A partir da identificação de áreas localizadas entre 1 e 5 quilômetros em relação a rodovias, ferrovias e estradas menores, os pesquisadores constataram que, quanto maior a distância entre as áreas estudadas e a infraestrutura de transporte, menor a probabilidade de encontrar a região desmatada e maior a presença de vegetação nativa.
O estudo também aponta que, embora áreas livres de estradas e ferrovias detenham a grande maioria da vegetação nativa remanescente do país (81,5%), apenas 38% dessa vegetação se encontra protegida por algum instrumento legal.
(Gabhriel Giordani. “Desmatamento cresce nas regiões próximas
a estradas no Brasil, diz pesquisa”. www.ufrgs.br, 05.05.2022. Adaptado.)
Considerando o excerto, uma maneira de mitigar os impactos ambientais gerados pela construção de vias de transporte no Brasil é
(A) a redução das políticas socioambientais que impactam o sistema de transporte.
(B) a ampliação do número de unidades de conservação nas áreas próximas a essas vias.
(C) a expansão das áreas de monocultura no entorno das rodovias.
(D) o bloqueio das estradas onde há circulação de animais silvestres.
(E) o estímulo à modernização e à privatização das estradas e ferrovias.
SANTA CASA 2023 - QUESTÃO 38
Analise o mapa.
A representação espacial apresentada no mapa faz referência
(A) à circulação de energia elétrica entre as unidades geradoras.
(B) aos corredores de produção e extração agromineral.
(C) à rede integrada de defesa e controle do tráfego aéreo.
(D) aos centros de controle de comunicação via satélite.
(E) aos fluxos migratórios inter-regionais.
SANTA CASA 2023 - QUESTÃO 39
A construção de um sistema de projeção será escolhida de maneira que a carta venha a possuir propriedades que satisfaçam as finalidades impostas pela sua utilização. O ideal seria construir uma carta que reunisse todas as propriedades, representando uma superfície rigorosamente semelhante à superfície da Terra. Essa carta deveria possuir as seguintes propriedades: 1. Manutenção da verdadeira forma das áreas a serem representadas; 2. Inalterabilidades das áreas; 3. Constância das relações entre as distâncias dos pontos representados e as distâncias dos seus correspondentes.
(Antônio Carlos Campos. “Projeções cartográficas:
classificação e características”. https://cesad.ufs.br. Adaptado.)
A condição necessária para a construção de uma projeção cartográfica que represente rigorosamente a superfície terrestre, contemplando as três propriedades mencionadas nesse excerto, é
(A) inviável, na medida em que os mapas são dotados de um modelo matemático simplificado e mostram parcelas selecionadas segmentadas do planeta.
(B) pouco provável, devido à esfericidade do planeta, que impede o estabelecimento das coordenadas de UTM (Unidade Transversa de Mercator).
(C) impossível, em razão do formato geoide que o planeta possui.
(D) possível, em virtude da elaboração segmentada de diferentes projeções que, quando integradas, geram um mapa síntese sem deformidades.
(E) viável, na medida em que se utiliza da projeção afilática, elaborada por Robinson, para a cartografar o planisfério.
SANTA CASA 2023 - QUESTÃO 40
Em uma videoconferência, quatro executivos de uma transnacional encontram-se em diferentes cidades no mundo. O executivo 1 está localizado no GMT+9; o executivo 2 está posicionado no GMT-4; o executivo 3 encontra-se 75º a Leste do executivo 2, e o executivo 4 está posicionado 30º a Leste do executivo 3. Sabendo que no Meridiano de Greenwich são 16h de uma terça-feira, o horário e o dia da semana em que os executivos 1, 2, 3 e 4 estarão reunidos na videoconferência são, respectivamente,
(A) 1h da quarta-feira; 13h da terça-feira; 22h da terça-feira; 0h da quarta-feira.
(B) 1h da quarta-feira; 12h da terça-feira; 21h da terça-feira; 23h da terça-feira.
(C) 23h da terça-feira; 19h da terça-feira; 4h da quarta-feira; 6h da quarta-feira.
(D) 23h da terça-feira; 14h da terça-feira; 19h da terça-feira; 22h da terça-feira.
(E) 1h da quarta-feira; 12h da terça-feira; 17h da terça-feira; 19h da terça-feira.
SANTA CASA 2023 - QUESTÃO 41
O quadro apresenta organismos da fauna e da flora brasileira e informações sobre cada um deles.
De acordo com os dados fornecidos no quadro e conhecimentos sobre classificação biológica, esses organismos pertencem à mesma unidade taxonômica, denominada
(A) espécie.
(B) classe.
(C) domínio.
(D) reino.
(E) ordem.
SANTA CASA 2023 - QUESTÃO 42
Analise o cariótipo de um gato doméstico (Felis catus).
De acordo com o cariótipo analisado e desconsiderando possíveis casos de mutações, afirma-se que:
(A) o animal que forneceu esse genoma é homogamético devido aos cromossomos sexuais.
(B) em um gameta do animal que forneceu esse genoma haverá 19 moléculas de DNA.
(C) a célula de onde esse cariótipo foi obtido estava em metáfase II de uma meiose.
(D) a espécie é 2n = 19 porque o total de cromossomos obtidos é o mesmo de um gameta.
(E) existem nesse cariótipo 38 cromossomos e cada um deles possui uma cromátide.
SANTA CASA 2023 - QUESTÃO 43
O escorpião amarelo (Tityus serrulatus) é um tipo de escorpião mais perigoso que o preto, pois sua peçonha tem ação neurotóxica e pode chegar a matar uma pessoa adulta. Além do escorpião, outro animal que também possui peçonha é a lacraia (Scolopendra sp), com picada que pode causar fortes dores, febre e edema no local afetado.
Por pertencerem ao mesmo filo, esses animais apresentam características em comum, como ______________. Porém, eles não pertencem à mesma classe, o que torna possível diferenciá-los anatomicamente. Um exemplo dessa diferença é que o escorpião apresenta ______________ e a lacraia apresenta ______________.
As lacunas do texto são preenchidas, respectivamente, por:
(A) circulação fechada – glândulas verdes – glândulas coxais.
(B) patas articuladas – pedipalpos – dois pares de antenas.
(C) hermafroditismo – desenvolvimento indireto – fecundação interna.
(D) apêndices articulados – quelíceras – mandíbulas.
(E) exoesqueleto de quitina – traqueias – aguilhão.
SANTA CASA 2023 - QUESTÃO 44
O peróxido de hidrogênio aplicado em ferimentos na pele pode atuar como agente antimicrobiano. Em contato com o sangue do ferimento, o peróxido de hidrogênio reage com uma enzima contida em uma organela membranosa e libera um gás na forma de pequenas bolhas.
O efeito protetivo do peróxido de hidrogênio consiste em eliminar bactérias
(A) anaeróbias obrigatórias, que não resistem ao gás oxigênio liberado após a ação da catalase.
(B) aeróbias, que não resistem ao gás oxigênio liberado após a ação da hidrolase.
(C) anaeróbias facultativas, que não resistem ao gás hidrogênio liberado após a ação da hidrolase.
(D) aeróbias, que não resistem ao gás carbônico liberado após a ação da catalase.
(E) anaeróbias obrigatórias, que não resistem ao gás hidrogênio liberado após a ação da hidrolase.
SANTA CASA 2023 - QUESTÃO 45
Em um experimento, um pesquisador cultivou 50 plantas de melancias. As plantas foram separadas em dois grupos e acondicionados em estufas diferentes, com 25 plantas em cada estufa.
Na época da floração, um dos grupos foi mantido como controle e o outro, o grupo experimental, teve os estames das flores removidos no início de sua formação.
Em seguida, essas plantas foram pulverizadas com ácido indolilacético (AIA) e, após algumas semanas, os dois grupos foram comparados. Após esse processo, verificou-se que as plantas do grupo experimental
(A) não produziram melancias.
(B) produziram muitos grãos de pólens.
(C) produziram melancias sem sementes.
(D) produziram melancias com mais sementes.
(E) desenvolveram óvulos maiores.
SANTA CASA 2023 - QUESTÃO 46
A fibrose cística é uma doença autossômica recessiva monogênica que afeta, sobretudo, alguns órgãos do sistema digestório e respiratório, prejudicando a qualidade de vida das pessoas portadoras dos alelos recessivos.
Um homem, sem fibrose cística, tem apenas uma irmã, que é a única pessoa da família com a doença. Ele é casado com uma mulher cujo irmão tem fibrose cística e também é o único da família com a doença.
A probabilidade de que este casal tenha um primeiro descendente com fibrose cística, independentemente do sexo biológico, é de
(A) 0,36.
(B) 0,11.
(C) 0,25.
(D) 0,29.
(E) 0,17.
SANTA CASA 2023 - QUESTÃO 47
O esquema mostra grupos de animais, M, N, O, P e Q, todos com origem evolutiva a partir de M, distribuídos em cinco ilhas diferentes. As setas tracejadas indicam baixo fluxo gênico e as setas contínuas indicam intenso fluxo gênico entre esses grupos de animais. As distâncias entre os grupos revelam a distância física entre as ilhas.
De acordo com o esquema e considerando que os baixos fluxos gênicos podem ser interrompidos no futuro, os grupos que terão maior probabilidade de serem classificadas como pertencentes à mesma espécie são
(A) M, N e O.
(B) M e Q.
(C) N e Q.
(D) O, P e Q.
(E) N, O e P.
SANTA CASA 2023 - QUESTÃO 48
“A ocitocina é responsável por promover contrações uterinas, atuando no trabalho de parto e no pós-parto, diminuindo o sangramento após o nascimento do bebê e estimulando a liberação de leite materno”, afirma a médica Karla Giusti. Além disso, esse hormônio também auxilia no metabolismo ósseo, participa do mecanismo do orgasmo, atua nas relações sociais e diminui o medo. Por essas ações, a ocitocina é chamada de “hormônio do amor”, juntamente com outros compostos, como a serotonina e a dopamina.
(Maria Tereza Santos. “Spray de ocitocina é usado para promover
bem-estar e prazer sexual”. Folha de S.Paulo, 08.06.2022. Adaptado.)
De acordo com o excerto e conhecimentos sobre as substâncias citadas, afirma-se que:
(A) a ocitocina é liberada nas sinapses e faz conexão química com os músculos do útero.
(B) a dopamina e a ocitocina são produzidas pelas glândulas suprarrenais e atuam no útero.
(C) a serotonina é um hormônio que estimula a produção de leite materno.
(D) a ocitocina é produzida no hipotálamo e secretada pela neuroipófise.
(E) o mecanismo do orgasmo e a perda do medo têm ação do sistema nervoso somático.
SANTA CASA 2023 - QUESTÃO 49
Nos últimos cinquenta anos houve redução, em média, de 68% de espécies de vertebrados aquáticos e terrestres no planeta. Para remediar esse problema, cientistas criaram biobancos, instituições que coletam e congelam amostras de tecidos e células dos seres que podem ser extintos. Tullis Matson, especialista em reprodução artificial, criou um desses biobancos no Reino Unido.
Depois da coleta das células, o material coletado é colocado em tubos contendo um anticongelante rico em nutrientes, ideal para a preservação celular. Esses tubos ficam armazenados a –196 ºC, temperatura na qual todos os processos químicos cessam. Para ativar as amostras, os técnicos as aquecem em um banho de nutrientes, quando passam a se dividir e a se multiplicar. Depois os cientistas usam um método semelhante ao de uma clonagem.
(Sabrina Brito. “Uma nova arca de Noé”. Veja, 08.06.2022. Adaptado.)
De acordo com a técnica apresentada, indivíduos formados a partir de uma única célula congelada formarão uma nova população com
(A) maior fertilidade e capacidade de recuperação numérica em relação à população extinta.
(B) maiores chance de adaptação em ambientes mais hostis à sobrevivência.
(C) a mesma suscetibilidade a uma doença que o organismo doador da célula clonada possua.
(D) a mesma variabilidade genética encontrada em todos os membros da população extinta.
(E) menor capacidade reprodutiva porque haverá redução no tamanho do genoma.
SANTA CASA 2023 - QUESTÃO 50
É possível inferir que temos ao menos 250 vezes mais microrganismos do que células em nosso corpo, interagindo em complexos sistemas, que denominamos microbioma. Mas o que isso significa? O mapeamento da distribuição de germes, principalmente bactérias nos órgãos e sistemas aponta que existem padrões. Ou seja, há uma interdependência entre o ser humano e sua flora (1), envolvendo mecanismos celulares e enzimáticos. Sem nosso microbioma, não sobreviveríamos. Nossa saúde pode ser afetada se houver um desequilíbrio desse microbioma conosco, pela contaminação por microrganismos invasores que podem sobrepujar a nossa microbiota natural (2). Estamos dando os passos iniciais na descoberta deste impressionante ecossistema. Sabemos que algumas doenças (3) estão relacionadas ao desequilíbrio nesta interação (disbiose), mas ainda não sabemos como manipular a flora para tratar determinadas doenças humanas.
(Esper Kállas. “Hospedeiros de micro-organismos”.
Folha de S.Paulo, 08.06.2022. Adaptado.)
No excerto, os trechos sublinhados, 1, 2 e 3, referem-se, respectivamente, a interações ecológicas entre diferentes espécies de organismos, denominadas:
(A) mutualismo, competição e parasitismo.
(B) amensalismo, competição e protocooperação.
(C) mutualismo, canibalismo e sociedade.
(D) comensalismo, antibiose e predatismo.
(E) parasitismo, comensalismo e amensalismo.
SANTA CASA 2023 - QUESTÃO 51
O cloreto de nitrila (ClNO2) é um composto formado em ambiente marinho. Em pressão ambiente ele apresenta temperatura de fusão –30 ºC e de ebulição 5 ºC. A figura representa uma curva de aquecimento desse composto a 1 atm.
Na curva de aquecimento do cloreto de nitrila, a região correspondente à temperatura de 298 K está indicada pelo número
(A) 2.
(B) 3.
(C) 1.
(D) 5.
(E) 4.
SANTA CASA 2023 - QUESTÃO 52
Uma das teorias que explicam a origem dos elementos químicos em processos estelares apresenta reações que envolvem fusão nuclear entre isótopos dos elementos leves.
Uma dessas reações é a da formação do isótopo lítio-7 representada na equação a seguir.
Nessa reação, o nuclídeo representado por X tem número de prótons igual a _____________ e quantidade de nêutrons igual a _____________.
As lacunas do texto são preenchidas, respectivamente, por
(A) 1 e 3.
(B) 1 e 1.
(C) 2 e 3.
(D) 2 e 1.
(E) 1 e 2.
SANTA CASA 2023 - QUESTÃO 53
A nitroglicerina (C3H5N3O9) é uma medicação empregada na forma injetável em diversas terapias cardiológicas.
Ela é disponibilizada para uso hospitalar em ampolas de 10 mL, em solução com concentração 5 mg/mL.
Para uso intravenoso, deve-se preparar uma infusão com diluição de uma ampola de nitroglicerina em soro fisiológico até o volume final de 500 mL.
Nessa solução para infusão, a concentração de nitroglicerina é igual a
(A) 1 g/L.
(B) 0,1 g/L.
(C) 0,05 g/L.
(D) 0,5 g/L.
(E) 0,01 g/L.
SANTA CASA 2023 - QUESTÃO 54
Analise o quadro que apresenta as fórmulas estruturais de substâncias líquidas, em temperatura ambiente, que são empregadas como solventes em sínteses orgânicas.
Dentre as substâncias apresentadas no quadro, aquelas que, quando misturadas, apresentam interação por ligação de hidrogênio são as de números
(A) 2 e 3.
(B) 1 e 4.
(C) 1 e 2.
(D) 2 e 4.
(E) 3 e 4.
SANTA CASA 2023 - QUESTÃO 55
Resíduos de alimentos podem ser transformados em fonte de energia por meio de fermentação anaeróbia em biodigestores.
Nesse processo ocorre a formação de uma mistura de gases rica em metano (CH4) que contém também vapor de água (H2O), amônia (NH3), sulfeto de hidrogênio (H2S) e dióxido de carbono (CO2).
Dentre as moléculas gasosas formadas nesse processo, aquela que apresenta ângulo de ligação de 180º é a de
(A) água.
(B) dióxido de carbono.
(C) sulfeto de hidrogênio.
(D) metano.
(E) amônia.
SANTA CASA 2023 - QUESTÃO 56
Um compartimento selado, de volume invariável é preenchido, a 20 ºC, com uma mistura dos gases propano (C3H8) e oxigênio (O2) em proporção estequiométrica para reação de combustão completa. Uma faísca é fornecida à mistura gasosa ocasionando a reação de combustão. O volume do líquido formado nessa reação é desprezível em relação ao volume total do compartimento.
Denominando-se P1 a pressão da mistura gasosa inicial, a pressão gasosa no interior do compartimento após a reação de combustão completa (pressão final), medida a 20 ºC, é igual a
(A) 0,2 × P1.
(B) 5 × P1.
(C) 0,5 × P1.
(D) 2 × P1.
(E) 1 × P1.
SANTA CASA 2023 - QUESTÃO 57
A figura apresenta três béqueres contendo, separadamente, volumes iguais de água destilada (líquido 1), solução aquosa de fluoreto de sódio (NaF) 1 mol/L (líquido 2) e solução aquosa de glicose (C6H12O6) 1 mol/L (líquido 3).
Considere que os três líquidos tenham sido mantidos à mesma temperatura de 60 ºC. Nessa condição, as pressões de vapor desses líquidos (PV1, PV2 e PV3) estão relacionadas pela expressão matemática:
(A) PV1 > PV3 > PV2
(B) PV1 > PV2 = PV3
(C) PV2 > PV3 > PV1
(D) PV2 > PV1 > PV3
(E) PV1 > PV2 < PV3
SANTA CASA 2023 - QUESTÃO 58
O boro é um micronutriente essencial para o crescimento de vegetais, porém pouco abundante nos solos brasileiros. Para a preparação de cultivos, os agricultores pulverizam caldas de ácido bórico no solo. O ácido bórico (H3BO3) é um ácido monoprótico com massa molar 61,8 g/mol e constante de ionização Ka = 5 × 10⁻¹⁰ a 25 ºC.
Uma calda foi preparada colocando-se 12,36 kg de ácido bórico em um compartimento, adicionando-se água até atingir a capacidade volumétrica de 1 m³.
Considerando-se que a água empregada apresentava pH próximo de 7, o pH da calda preparada a 25 ºC era próximo de
(A) 9.
(B) 3.
(C) 5.
(D) 2.
(E) 1.
SANTA CASA 2023 - QUESTÃO 59
As equações de reação a seguir referem-se à formação de dois polímeros empregados pela indústria de alimentos em embalagens: o isopor, usado para a confecção de bandejas e caixas e o PET, usado para a confecção de garrafas.
A fórmula estrutural do composto 1 e a classificação da reação 2 são

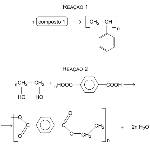
SANTA CASA 2023 - QUESTÃO 60
Em um experimento para identificação de compostos orgânicos foi empregado o chamado “reagente de Tollens”, uma solução aquosa de hidróxido de diaminprata, Ag(NH3)2OH, em que a prata encontra-se no estado de oxidação +1.
Em um tubo de ensaio, esse reagente foi misturado a um composto orgânico oxigenado, o tubo foi aquecido e, como resultado, observou-se a formação de um espelho de prata metálica nas suas paredes internas.
A reação química ocorrida está representada pelo esquema a seguir:
Nesse experimento, o composto orgânico oxigenado que reagiu apresentava o grupo funcional
(A) éter, que foi oxidado.
(B) aldeído, que foi oxidado.
(C) álcool, que foi reduzido.
(D) cetona, que foi oxidado.
(E) éster, que foi reduzido.
SANTA CASA 2023 - QUESTÃO 61
O exame de espirometria consiste em medir o volume de ar que entra e sai dos pulmões. O gráfico apresenta o resultado de uma espirometria realizada durante uma manobra expiratória forçada, indicando o volume de ar expirado em função do tempo.
O coeficiente angular da reta tangente à curva desse gráfico fornece, no instante correspondente ao ponto de tangência, o valor
(A) da velocidade do ar que sai dos pulmões, em metros por segundo.
(B) do volume de ar ainda existente nos pulmões, em litros.
(C) da aceleração do ar que sai dos pulmões, em metros por segundo ao quadrado.
(D) do volume de ar já expirado, em litros.
(E) do fluxo de ar que sai dos pulmões, em litros por segundo.
SANTA CASA 2023 - QUESTÃO 62
A distância de frenagem é a mínima distância que um veículo percorre para conseguir parar completamente antes de atingir um obstáculo.
Essa distância é a soma da distância de reação, que é a distância percorrida entre o instante que o condutor avista o obstáculo e o instante em que aciona o sistema de freios do veículo, com a distância de parada, que é a distância percorrida pelo veículo após o acionamento dos freios até sua parada total.
A figura representa a distância de frenagem típica para um automóvel que trafega com velocidade de 112 km/h, que corresponde a, aproximadamente, 30 m/s.
Considerando que o veículo percorra a distância de reação em movimento uniforme e a distância de parada em movimento uniformemente variado, a aceleração escalar do veículo, durante a distância de parada, é de, aproximadamente,
(A) 6,0 m/s².
(B) 7,5 m/s².
(C) 2,5 m/s².
(D) 4,7 m/s².
(E) 12,0 m/s².
SANTA CASA 2023 - QUESTÃO 63
A figura representa um pêndulo simples que oscila em um plano vertical entre os pontos X e Z, passando por Y, ponto mais baixo de sua trajetória.
No gráfico, estão representadas as energias potencial gravitacional, cinética e mecânica desse pêndulo, em função de sua posição e em relação ao nível do ponto Y.
Desprezando as forças dissipativas, as linhas azul, marrom e vermelha indicam, respectivamente, as energias
(A) potencial gravitacional, mecânica e cinética.
(B) mecânica, cinética e potencial gravitacional.
(C) cinética, potencial gravitacional e mecânica.
(D) potencial gravitacional, cinética e mecânica.
(E) cinética, mecânica e potencial gravitacional.
SANTA CASA 2023 - QUESTÃO 64
Uma esfera oca de ferro de peso 7,8 N é colocada em água, ficando totalmente submersa e sujeita a um empuxo de intensidade 3,0 N.
Desprezando o peso do ar contido no interior dessa esfera, considerando g = 10 m/s² e as massas específicas da água e do ferro, respectivamente, iguais a 1,0 × 10³ kg/m³ e 7,8 × 10³ kg/m³, o volume da parte oca dessa esfera é igual a
(A) 200 cm³.
(B) 20 cm³.
(C) 30 cm³.
(D) 100 cm³.
(E) 300 cm³.
SANTA CASA 2023 - QUESTÃO 65
A ausência de gravidade será um dos grandes problemas durante possíveis viagens espaciais para outros planetas, pois causa perda de massa muscular, perda de cálcio dos ossos, perda de imunidade e, nos primeiros dias no espaço, o deslocamento do sangue para a parte superior do corpo.
Uma solução já cogitada para esse problema é produzir “gravidade artificial”, o que pode ser feito por meio de um compartimento rotativo que produza uma aceleração que simule o efeito do peso sobre os astronautas.
(https://planeta.rio. Adaptado.)
Considere uma estrutura rotatória de forma cilíndrica na qual se pretenda produzir uma aceleração centrípeta de mesmo módulo que a aceleração da gravidade terrestre, de 9,8 m/s², em um ponto que esteja a 20 m de distância do eixo longitudinal dessa estrutura.
Para isso, esse cilindro deve girar em torno desse eixo com velocidade angular de
(A) 1,40 rad/s.
(B) 0,70 rad/s.
(C) 2,04 rad/s.
(D) 1,86 rad/s.
(E) 0,35 rad/s.
SANTA CASA 2023 - QUESTÃO 66
O sistema de controle de temperatura da água de um aquário está regulado para, quando necessário, elevá-la em 2,0 ºC, com um aquecedor de 42 W. Nesse aquário, há 36 litros de água, cuja densidade é 1,0 kg/L e cujo calor específico é 4,2 × 10³ J/(kg ⋅ ºC).
Considerando que todo calor gerado pelo aquecedor é transferido para a água e desprezando as perdas de calor, o intervalo de tempo que esse aquecedor deve permanecer ligado para aquecer, em 2,0 ºC, a água desse aquário é de
(A) 30 min.
(B) 90 min.
(C) 60 min.
(D) 75 min.
(E) 120 min.
SANTA CASA 2023 - QUESTÃO 67
No dia 14 de outubro de 2023 ocorrerá um eclipse solar anular que será visível do Nordeste do Brasil.
Considerando que o período de rotação da Lua em torno da Terra é de 28 dias, ainda em outubro de 2023 ocorrerá um eclipse lunar no dia
(A) 17.
(B) 28.
(C) 7.
(D) 11.
(E) 21.
SANTA CASA 2023 - QUESTÃO 68
A Estimulação Elétrica Nervosa Transcutânea (TENS) é um procedimento de fisioterapia no qual são aplicados impulsos elétricos na pele.
Em certa modalidade de TENS, são aplicados grupos de pulsos de frequência 2000 Hz com duração de 10 ms, com pausa também de 10 ms entre eles, conforme mostrado na figura.
O número de pulsos em cada grupo é de
(A) 50.
(B) 100.
(C) 5.
(D) 20.
(E) 2.
SANTA CASA 2023 - QUESTÃO 69
Analise a figura que representa a curva característica de certo tipo de LED.
Um LED desse tipo foi associado em série com um resistor ôhmico de resistência 330 Ω e esse conjunto foi ligado aos terminais de uma bateria ideal. Nessa situação, a intensidade da corrente elétrica que se estabeleceu no circuito foi de 20 mA. A força eletromotriz dessa bateria é igual a
(A) 3,6 V.
(B) 6,6 V.
(C) 9,0 V.
(D) 2,4 V.
(E) 4,2 V.
SANTA CASA 2023 - QUESTÃO 70
Albert Einstein é muito conhecido por ter elaborado a Teoria da Relatividade, mas o trabalho que lhe rendeu o Prêmio Nobel de Física de 1921 foi sobre o efeito fotoelétrico. Esse efeito consiste
(A) na emissão de elétrons por uma superfície metálica quando é atingida por radiação eletromagnética.
(B) na emissão de luz pelos LEDs quando são percorridos por corrente elétrica.
(C) na emissão de luz por um metal aquecido, como ocorre nas lâmpadas incandescentes.
(D) na emissão de elétrons pelo núcleo atômico (radiação beta menos) quando é atingido por radiação luminosa.
(E) na emissão de luz por um gás quando é atingido por elétrons, como ocorre nas lâmpadas fluorescentes.
SANTA CASA 2023 - QUESTÃO 71
Sejam TC, TF e TK a mesma temperatura nas escalas Celsius, Fahrenheit e Kelvin, respectivamente. As fórmulas usuais de conversão entre TC, TF e TK são:
Uma fórmula que converte diretamente TK em TF é:
(A) TF = 1,8TK - 523,67
(B) TF = 0,56TK - 290,75
(C) TF = 1,8TK - 459,67
(D) TF = 0,56TK - 305,15
(E) TF = 1,8TK - 533,15
SANTA CASA 2023 - QUESTÃO 72
A tabela indica o orçamento anual destinado à saúde de três países e as conversões de suas respectivas moedas em reais.
A soma do orçamento anual destinado à saúde desses três países, em reais, é igual a
(A) 1,489 ⋅ 10¹⁴
(B) 1,004 ⋅ 10¹⁴
(C) 6,100 ⋅ 10¹³
(D) 5,232 ⋅ 10¹³
(E) 2,616 ⋅ 10¹³
SANTA CASA 2023 - QUESTÃO 73
A figura indica a posição inicial da coreografia de três dançarinos, Ana (A), Bruna (B) e Caio (C), sendo ABC um triângulo equilátero inscrito em uma circunferência de centro O.
No próximo movimento da coreografia, Ana vai deslocar-se 30º sobre a circunferência, em sentido anti-horário; Bruna vai deslocar-se 60º sobre a circunferência, em sentido horário, e Caio vai deslocar-se 45º sobre a circunferência, em sentido anti-horário.
Após essa movimentação dos três, a medida do menor ângulo interno do triângulo com vértices nas novas posições dos três dançarinos será de
(A) 6,5º.
(B) 7,5º.
(C) 15º.
(D) 22,5º.
(E) 12º.
SANTA CASA 2023 - QUESTÃO 74
Uma urna contém cartões com as 26 letras do alfabeto. Retirando-se aleatoriamente 4 cartões de uma única vez dessa urna, a probabilidade de que com eles seja possível, em alguma ordem das letras, formar a palavra VIDA é igual

SANTA CASA 2023 - QUESTÃO 75
O gráfico indica a representação da elipse de equação
e de duas circunferências, de centros com coordenadas (-20,0) e (20,0), que tangenciam a elipse nos pontos em que ela intersecta o eixo das abscissas. As retas r e s passam pela origem do sistema cartesiano de eixos ortogonais e tangenciam as circunferências nos pontos A, C, B e D, como mostra a figura.
Na situação descrita, a área do retângulo ABCD, em unidades de área do plano cartesiano, é igual a

SANTA CASA 2023 - QUESTÃO 76
A figura indica triângulos retângulos CBA e MBD. Os pontos A, M e B são colineares, assim como também são colineares os pontos C, B e D.
Os ângulos e são congruentes. Sabe-se ainda que AM = BM = 1 cm e que
com CB < BD.
Nas condições descritas, a mediana do triângulo ABC é igual a

SANTA CASA 2023 - QUESTÃO 77
Observe a matriz quadrada M e sua inversa M⁻¹.
A soma dos valores de x, y e z que resolvem o sistema linear
é igual a

SANTA CASA 2023 - QUESTÃO 78
Em uma reta são marcados os pontos distintos P, Q, R e S, nessa ordem, tal que PQ = 1 e QS = 2. Se as medidas PQ, QR e RS serão utilizadas como lados de um triângulo, então todos os valores possíveis para QR estão no intervalo real

SANTA CASA 2023 - QUESTÃO 79
O decaimento radioativo de uma substância se dá de acordo com a fórmula r(t) = C ⋅ 3⁻⁶ᵗ, com C sendo uma constante diferente de zero e r(t) a quantidade de radioatividade presente na substância após t segundos desde o início do decaimento.
O valor de t, em segundos, para que a substância fique com a terça parte da radioatividade que tinha incialmente é igual a

SANTA CASA 2023 - QUESTÃO 80
A figura indica o gráfico da função f : |R → |R, definida por f(x) = x ⋅ sen(x), e a abscissa de dois dos seus pontos, cujas ordenadas são P e Q.
Nas condições descritas, P+ Q é igual a

2ª DIA
SANTA CASA 2023 - QUESTÃO 01
A aquaponia é uma técnica que une a aquicultura (criação de peixes) e a hidroponia (cultivo de plantas em água com nutrientes).
Essa técnica permite que excretas nitrogenadas dos peixes sejam aproveitadas na forma de macronutrientes pelos vegetais e que a água seja devolvida limpa para o tanque dos animais. Considere que no tanque existam tilápias.
a) Cite um composto orgânico nitrogenado obtido pelos seres humanos ao consumirem a carne dessas tilápias. Em geral, qual a principal excreta nitrogenada eliminada pelas tilápias?
b) Que microrganismo presente na água desse tanque metaboliza diretamente a excreta nitrogenada eliminada pelas tilápias? Como esse microrganismo pode beneficiar os vegetais para que obtenham macronutrientes nitrogenados da água do tanque?
SANTA CASA 2023 - QUESTÃO 02
O citosol das células eucarióticas é composto por substâncias inorgânicas onde estão imersas algumas estruturas, como ribossomos e citoesqueleto, que dão forma e sustentam a célula. Nessas células, o citoesqueleto é composto por três tipos de filamento proteico.
a) Qual é a substância inorgânica mais abundante encontrada no citosol das células eucarióticas? Qual proteína compõe os filamentos do citoesqueleto mais abundantes encontrados nas células musculares?
b) Algumas substâncias alcaloides podem interagir com as proteínas que compõem um tipo de filamento do citoesqueleto, desarranjar a estrutura delas e inviabilizar a multiplicação celular. Que tipo de filamento proteico está diretamente associado à multiplicação celular? Por que o desarranjo desse tipo de filamento pode inibir a multiplicação celular?
SANTA CASA 2023 - QUESTÃO 03
Durante a evolução das briófitas, pteridófitas, gimnospermas e angiospermas, modificações relacionadas às adaptações das plantas ocorreram ao longo do tempo, como a redução do porte da fase gametofítica, maior complexidade da fase esporofítica, a não dependência da água para a fecundação e a formação das sementes.
a) Cite dois grupos vegetais que produzem anterozoides flagelados necessários para a própria reprodução.
b) Qual estrutura reprodutiva dos vegetais permitiu a não dependência da água para fecundação? Por que a dispersão das sementes foi um dos motivos para o sucesso evolutivo das plantas espermáfitas?
SANTA CASA 2023 - QUESTÃO 04
As figuras ilustram dois néfrons, um encontrado nos rins de roedores que vivem numa floresta tropical e o outro encontrado nos rins de roedores que vivem no deserto.
a) Qual fenômeno fisiológico permite a passagem de substâncias do sangue para a cápsula renal? Cite uma diferença, quanto à composição, entre o sangue e o líquido encontrado no interior da cápsula renal.
b) Que vantagem a alça néfrica mais longa confere ao roedor de deserto? Como o hormônio aldosterona atua na elevação da pressão arterial?
SANTA CASA 2023 - QUESTÃO 05
Os órgãos sexuais externos do homem são o escroto, que contém os testículos, e o pênis. Já os órgãos internos são os ductos (epidídimo, deferentes e ejaculatórios) e as glândulas acessórias, importantes para produzir o sêmen.
a) Em um homem saudável, quais glândulas contribuem em maior parte para a produção do sêmen? Qual a importância de o sêmen ter pH acima de 7?
b) Por que os testículos devem ficar alojados no interior do escroto e fora da cavidade abdominal? Quais células dos testículos produzem a testosterona?
SANTA CASA 2023 - QUESTÃO 06
Em determinada espécie vegetal, os alelos A/a e B/b determinam diferentes fenótipos. Foi realizado um cruzamento entre uma planta duplo-heterozigota com outra duplo-recessiva e obteve-se o seguinte o resultado:
a) O resultado obtido revela que as proporções não estão de acordo com a segunda lei de Mendel. Qual deveria ser a proporção esperada para cada descendente de acordo com essa lei? Qual o motivo do resultado obtido?
b) Qual a frequência de células que sofreram recombinação presentes na planta duplo-heterozigota? Indique, na figura apresentada no campo de Resolução e Resposta, como estariam dispostos os genes em uma célula somática de um dos descendentes parentais.
SANTA CASA 2023 - QUESTÃO 07
Uma indústria farmacêutica está produzindo o molnupiravir, droga que age potencialmente em vários vírus cujo material genético é formado por RNA. É o caso dos arbovírus responsáveis pela dengue, Chikungunya e zika. Segundo a médica Marina Della Negra, o mecanismo de ação dessa droga consiste no seguinte: “ocorre uma inibição da replicação de qualquer RNA viral.
Basicamente, tal mecanismo introduz no organismo partículas análogas aos nucleosídeos que formam o ‘código genético’ do vírus. Isso gera uma mutação e provoca o que chamamos de erro de catástrofe viral, ou seja, o RNA fica inviável e o vírus não se replica”.
(Tiago Jokura. Pesquisa Fapesp, janeiro de 2022. Adaptado.)
a) Que base nitrogenada é exclusiva das moléculas de RNA? Qual a forma mais recorrente de transmissão natural das doenças citadas no texto para os seres humanos?
b) Por que a inibição provocada pelo medicamento torna o vírus incapaz de se replicar? Quais moléculas compõem um nucleosídeo?
SANTA CASA 2023 - QUESTÃO 08
As mudanças climáticas podem estar influenciando nas cores dos girassóis.
Segundo estudos realizados por pesquisadores das universidades de Pittsburg, Virginia e Clemson, dos Estados Unidos, nos últimos 75 anos as plantas aumentaram a pigmentação das brácteas dos girassóis por causa da elevação da temperatura e das variações na camada de ozônio.
Elas fizeram isso para se proteger do excesso de radiação ultravioleta (U.V.), exatamente como os humanos agem ao usar filtro.
(Amauri Segalla. “O Enigma dos girassóis”. Veja, 28.10.2020. Adaptado.)
a) Qual a importância da camada de ozônio para a vida na Terra? Por que a mudança na cor das brácteas dos girassóis pode reduzir a reprodução dessas plantas?
b) Muitas folhas, pétalas e brácteas apresentam diversos pigmentos carotenoides. Qual a importância fisiológica desses pigmentos para a planta? Por que esses pigmentos contribuem para o crescimento mais acelerado das plantas?
SANTA CASA 2023 - QUESTÃO 09
O esquema representa uma célula a combustível de metanol (H3COH). Esse dispositivo eletroquímico funciona como uma pilha com alimentação contínua dos reagentes nos compartimentos anódico e catódico, os quais são separados por uma membrana condutora de íons que tem a função da ponte salina.
As semirreações dos reagentes que são inseridos nessa célula a combustível estão representadas no sentido da redução, com os respectivos potenciais padrão de redução, E°:
a) Calcule os números de oxidação dos átomos de carbono do metanol e do dióxido de carbono.
b) Apresente a equação global dessa célula a combustível. Calcule a diferença de potencial padrão dessa célula.
SANTA CASA 2023 - QUESTÃO 10
O clorato de potássio (KClO3) é um composto termicamente instável. Ao ser aquecido, decompõe-se formando cloreto de potássio sólido (KCl) e gás oxigênio (O2).
Ao ser misturado com água, o clorato de potássio se dissolve. Sua curva de solubilidade está representada a seguir.
a) Escreva a equação da reação de decomposição térmica balanceada do KClO3. Apresente o número de elétrons do cátion potássio.
b) Uma solução foi preparada adicionando-se 24 g de KClO3 a 100 g de água a 90 ºC. Essa solução foi resfriada lentamente e mantida em temperatura controlada, a 30 ºC. Em que temperatura iniciou-se a cristalização? Justifique sua resposta por meio do coeficiente de solubilidade. Calcule a massa de KClO3 cristalizada na solução mantida a 30 ºC.
SANTA CASA 2023 - QUESTÃO 11
A Camellia sinensis, conhecida como chá verde, contém, dentre outros compostos, um álcool, cuja fórmula estrutural está representada a seguir.
Na fruta toranja, também conhecida como grapefruit, há um composto que pode ser sintetizado em laboratório por meio da reação entre um ácido carboxílico que possui dois átomos de carbono e o álcool que existe no chá verde.
a) Escreva a fórmula molecular do álcool presente no chá verde e calcule sua massa molar.
b) Utilizando as fórmulas estruturais dos reagentes e produtos, escreva a equação da reação da síntese do composto presente na toranja. A qual função orgânica pertence esse composto?
SANTA CASA 2023 - QUESTÃO 12
No processo de vinificação, após a prensagem das uvas, ocorrem duas etapas de fermentação. A primeira é a dos açúcares, que pode ser representada por meio da transformação da glicose (C6H12O6), sob ação de leveduras, em etanol (C2H5OH) e dióxido de carbono (CO2) observando-se um aumento de temperatura.
A segunda etapa de fermentação é denominada fermentação malolática e o ácido málico presente na mistura das uvas prensadas é transformado em ácido lático e dióxido de carbono.
a) Justifique por que o ácido lático apresenta isomeria óptica. Classifique a reação de fermentação da glicose quanto ao caráter termoquímico.
b) Classifique o ácido málico quanto ao número de átomos de hidrogênio ionizáveis que apresenta. Equacione a reação de fermentação da glicose.
SANTA CASA 2023 - QUESTÃO 13
Em um local em que a aceleração gravitacional é igual a 10 m/s², um projétil de massa 8,0 g foi disparado obliquamente de tal forma que as componentes horizontal e vertical da sua velocidade inicial eram, respectivamente, 300 m/s e 120 m/s.
a) Na ausência de resistência do ar, esse projétil descreveria uma trajetória parabólica resultado da composição de um movimento uniforme, na direção horizontal, e de um movimento uniformemente variado, na direção vertical. Nesse caso, calcule, em metros, as distâncias horizontal e vertical percorridas por esse projétil, após 2,0 segundos do instante do lançamento.
b) Considere que, devido à resistência do ar, esse projétil atingiu o ponto mais alto da sua trajetória com velocidade horizontal de 100 m/s. Sabendo que a intensidade da força de resistência do ar que atuava sobre o projétil nesse instante, era dada, em newtons, por FA = 6,0 × 10⁻⁶ ⋅ v², em que v é a intensidade da velocidade do projétil em m/s, calcule, em newtons, a intensidade da força resultante que atuou sobre esse projétil no ponto mais alto da sua trajetória.
SANTA CASA 2023 - QUESTÃO 14
Um caminhão de massa 4000 kg, que se deslocava com velocidade de 15 m/s, colidiu com um automóvel de massa 1000 kg que se deslocava à sua frente, na mesma direção e sentido, com velocidade de 10 m/s.
a) Calcule a intensidade da velocidade relativa, em m/s, entre os dois veículos e a energia cinética, em joules, do automóvel antes da colisão.
b) Sabendo que, após a colisão, os veículos permaneceram unidos e que não houve mudança na direção de suas velocidades, calcule a intensidade do impulso, em Ns, aplicado pelo caminhão sobre o automóvel nessa colisão.
SANTA CASA 2023 - QUESTÃO 15
Certa massa de gás ideal sofreu a transformação PQ mostrada no gráfico.
a) Sabendo que no estado P a temperatura do gás era de 300 K, calcule a temperatura do gás, em graus Celsius, no estado Q.
b) Sabendo que nessa transformação a energia interna do gás aumentou em 4,5 × 10⁴ J, calcule a quantidade de calor, em joules, absorvida pelo gás, entre os estados P e Q.
SANTA CASA 2023 - QUESTÃO 16
Considere que, devido à sua extensão quando comparada com sua espessura, uma membrana celular possa ser aproximada por duas paredes planas, paralelas e eletrizadas com cargas de sinais opostos. Admita que no interior dessa membrana exista um campo elétrico uniforme de intensidade E = 5,0 × 10⁶ V/m, devido às diferentes concentrações iônicas no interior e no exterior da célula.
a) Considere que a distância entre as duas paredes dessa membrana celular seja 8,0 × 10⁻⁹ m, que a direção do campo elétrico seja perpendicular a essas paredes e que seu sentido seja de fora para dentro da célula. Calcule a diferença de potencial, em volts, entre as duas paredes dessa membrana. Em seguida, determine o sinal das cargas elétricas em cada uma dessas paredes. Justifique sua resposta.
b) Suponha que um íon de sódio, com carga elétrica de 1,6 × 10–19 C, possa se mover no interior dessa membrana com velocidade de 1,0 × 10⁻⁴ m/s. Calcule a intensidade da força elétrica, em newtons, que atua sobre esse íon na região entre as paredes dessa membrana. Em seguida, calcule a intensidade mínima do campo magnético, em teslas, que deve ser aplicado sobre a membrana para produzir sobre esse íon uma força magnética de mesma intensidade que a força elétrica que atua sobre ele no interior da membrana.
SANTA CASA 2023 - QUESTÃO 17
a) Em sua crônica, Moacyr Scliar configura, a seu modo, uma moral da história. Transcreva a moral da história dessa crônica. Justifique sua resposta.
b) Cite uma expressão hiperbólica empregada pelo cronista no último período do terceiro parágrafo. Justifique sua resposta.
SANTA CASA 2023 - QUESTÃO 18
a) Transcreva duas frases da crônica em que se notam tanto a voz do narrador quanto a voz de um dos personagens.
b) Identifique os sujeitos dos verbos sublinhados no segundo e no terceiro parágrafos.
SANTA CASA 2023 - QUESTÃO 19
a) De acordo com o autor do artigo, o sofrimento mais intenso dos mutilados está frequentemente associado a que experiência? A que representação do próprio corpo se vincula tal experiência?
b) Cite duas palavras do artigo formadas com prefixos que expressam ideia de negação.
SANTA CASA 2023 - QUESTÃO 20
a) Considere as seguintes frases extraídas do artigo:
1. “A cada ano, milhões de pessoas passam pela experiência da perda traumática de uma extremidade corporal.” (1º parágrafo)
2. “Pulsando, queimando ou coçando, o membro fantasma reclama da incompletude do mutilado.” (1º parágrafo)
3. “A incorporação harmônica de uma parte alheia devolve ao paciente sua função original, fundindo duas pessoas num corpo novo e maravilhoso.” (3º parágrafo)
Em qual dessas frases o autor faz uso do recurso retórico da personificação? Justifique sua resposta.
b) Reescreva na voz ativa o trecho “As regiões cerebrais correspondentes ao membro amputado são invadidas e loteadas por representações vizinhas” (2º parágrafo).














































COMENTÁRIOS